12月24日,甘肃省膜科学技术研究院(简称“甘肃膜科院”)张正志董事长一行到访江苏赫尔膜科技有限公司(简称“赫尔膜”),双方进行了深入交流,并就BPM膜市场推广签署了深度战略合作协议。

合 作 背 景
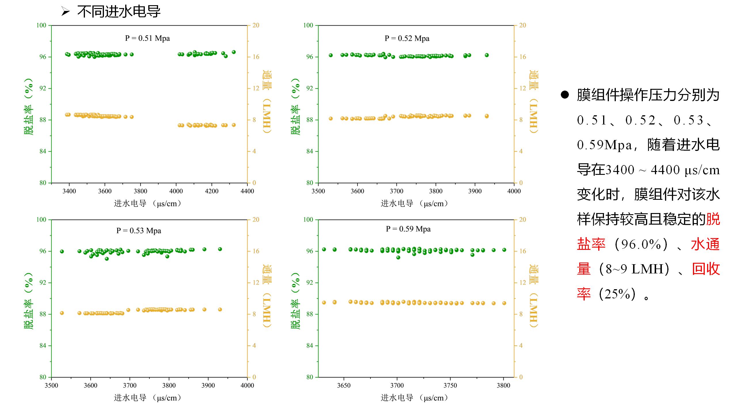
本次战略合作协议的签署,基于赫尔膜与甘肃膜科院在康润再生水厂中试项目取得的圆满成功。康润再生水厂为国家能源石横热电厂生产用水净水厂,此次中试采用赫尔膜的BPM膜系统对其反渗透浓水进行回收再利用处理。BPM膜系统凭借其卓越性能,无论是在高盐度、高硬度还是含有多种污染物的条件下,BPM膜系统均可实现25%的回收率,确保出水水质达到甚至超过预期标准。且BPM膜系统运行压力较低,同样进水条件下,本项目所需压力约5.5-6.5公斤,相对于传统反渗透膜压力降低约50%-65%。这大大降低了运行过程中的能耗和运维成本,成为推动双方深化合作、建立长期战略伙伴关系的核心要素。

注:中试运行数据
合 作 概 况
1、甘肃膜科学技术研究院
甘肃膜科院为我国膜科技研究先驱,建有三大研发平台,涵盖先进水处理技术、分析检测及膜材料分离技术。业务聚焦于水处理工程、膜材料制备、膜分离技术及环境检测四大板块,持续推动膜材料膜技术在苦咸水淡化、饮用水净化、污水资源化、节能减排、资源高效利用、清洁生产、过程工业分离、产业结构升级等相关领域的应用。
2、江苏赫尔膜科技有限公司
H2MO(赫尔膜)是新加坡高科技新材料企业,在新加坡和中国均设有公司及研发中心,拥有世界顶尖的膜技术研发实验室和研发团队,长期专注于水分离膜新材料、新技术研发、应用及推广。赫尔膜在全球首创中空纤维生物调控复合膜(BPM)技术,该技术创新采用新型膜材料及中空纤维结构,突破传统膜材料、膜技术壁垒限制,为水资源可持续发展提供了一套全新的解决方案。目前,BPM产品包括:中空反渗透膜、纳滤膜等高科技膜产品(BPM-RO/NF),可以广泛应用于中水回用、水处理、浓缩提纯等各领域。
本次战略合作协议的正式签署,标志着甘肃膜科院与赫尔膜将携手并进,共同推进BPM膜技术在中国的市场化发展和产业化应用。双方将精诚合作,致力于为客户提供更加高效、环保的解决方案。不断满足并超越客户的期待,共同推动膜技术产业的持续进步与繁荣发展。